Class 8
!->
≡
+2
11
X
9
8
7
6
V
4
3
2
1
Sunday, 5 December 2021
Mathematics
Mathematics Modal Test Paper
Real-Info
December 05, 2021
0
comments
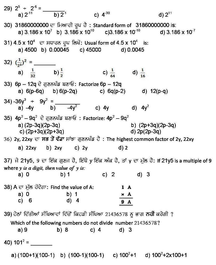
Mathematics Modal Test Paper
Share This:
Facebook
whatsapp
Newer Post
Older Post
Home
Menu
Study
Class Plus Two
Arts
Commerce
Science
Video Lessons
E-Books
Class Plus One
Arts
Commerce
Science
Video Lessons
E-Books
Class X
English
Hindi
Punjabi
Science
Science-E
Mathematics
Mathematics-E
Social Studies
Social Studies-E
Physical Education
Physical Education-E
Computer
Computer-E
Video Lessons
E-Books
Class IX
English
Hindi
Punjabi
Science
Science-E
Mathematics
Mathematics-E
Social Studies
Social Studies-E
Physical Education
Physical Education-E
Computer
Computer-E
Video Lessons
E-Books
Class VIII
English
Hindi
Punjabi
Science
Science-E
Mathematics
Mathematics-E
Social Studies
Social Studies-E
Physical Education
Physical Education-E
Computer
Computer-E
Video Lessons
E-Books
Class VII
English
Hindi
Punjabi
Science
Science-E
Mathematics
Mathematics-E
Social Studies
Social Studies-E
Physical Education
Physical Education-E
Computer
Computer-E
Video Lessons
E-Books
Class VI
English
Hindi
Punjabi
Science
Science-E
Mathematics
Mathematics-E
Social Studies
Social Studies-E
Physical Education
Physical Education-E
Computer
Computer-E
Video Lessons
E-Books
Pre-Primary
Poem Pre-Primary
Story Pre-Primary
Pages
English
Hindi
Punjabi
Mathematics
Mathematics-E
Science
Science-E
SST
SST-E
Phy Edu
Phy Edu-E
Computer
Computer-E
Welcome Life-E
Syllabus
Labels
Hindi
(39)
English
(35)
Punjabi
(35)
SST-E
(30)
SST
(26)
Science
(21)
Mathematics
(20)
Science-E
(18)
Mathematics-E
(15)
Computer
(9)
Welcome Life-E
(9)
Phy Edu
(8)
Phy Edu-E
(8)
Popular Posts
पाठ-1 हिम्मत करने वालों की हार नहीं होती
पाठ – 3 मेट्रो - रेल का सुहाना सफर
DON’T QUIT
निबंध - सरदार भगत सिंह
The Earth Needs You (Poem)